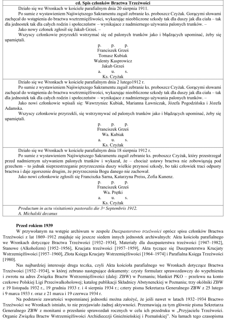
Opublikowano 5 czerwca 2018 Mieczysław Lewandowski Mieczysław Lewandowski Wspomnienie [z 1997 r.]. W stulecie urodzin i 19. rocznicę śmierci Nasz Ojciec urodził się 19 grudnia 1897 r. we […]